Skip to Content
Merck
CN

C–H Amination

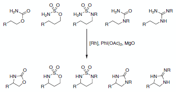
The Du Bois group at Stanford University has made substantial progress within the field of Rh-catalyzed C–H amination via oxidative cyclization of carbamate, sulfamate, sulfamide, urea, and guanidine substrates to give 1,2- and 1,3-heteroatom motifs masked in the form of 5- and 6-membered ring heterocycles (Scheme 1).1-8 The cyclization can occur with a high degree of stereospecificity for optically active substrates.

C – H Amination

Scheme 1.

Additionally, heterocyclic urea and guanidines themselves appear as structural elements in pharmacologically interesting substrates such as NK1 receptor antagonists, toxins, and bromopyrrole metabolites (Figure 1).3,8

C–H Amination

Figure 1.

A variety of Rh-carboxylate catalysts exhibit at least some effectiveness in the urea and guanidine cyclizations, but the most promising results are obtained using the combination of catalytic Rh2(esp)2 with substrates bearing 2,2,2-trichloroethoxysulfonyl (Tces) protection at nitrogen. Installation of the urea or guanidine residue, followed by cyclization can be accomplished through the use of several reagents as outlined in Schemes 2–6.3 Mitsunobu reaction of an alcohol with Tces-protected urea gives the cyclization precursor in good yield (Scheme 2). Subsequent treatment of this species with Rh2(esp)2 in the presence of PhI(OAc)2 and MgO affords the cyclized product in good to excellent yields for substrates containing tertiary or benzylic b-C–H centers (Scheme 3).

C–H Amination

Scheme 2.

C–H Amination

Scheme 3.

Tces-protected guanidines are easily prepared by of the reaction of an amine with one of two reagents derived from S,S-dimethyl-N- (2,2,2-trichloroethoxysulfonyl)carbonimidodithionate (Scheme 4).

C–H Amination

Scheme 4.

The isothiourea reacts with most primary amines in water at 100 °C to give the Tces-protected guanidine derivative (Scheme 5). Alternatively, more functionalized amines can be reacted with the carbonchloroimidodithioate reagent to give an intermediate pseudothiourea that can be transformed into the desired guanidine using HMDS as an ammonia source.

C–H Amination

Scheme 5.

Treatment of these Tces-protected guanidines under the standard oxidative cyclization reaction conditions furnishes the cyclized products in good yield (Scheme 6). Like the urea cyclizations, the reaction is most successful for substrates containing tertiary or benzylic β-C–H centers. Removal of the protecting group can be effected in high-yield using Zn metal and methanolic acetic acid.

C–H Amination

Scheme 6.

References

1.
2006. A Synthesis of (+)-Saxitoxin. J. Am. Chem. Soc.. 128(12):3926-3927. https://doi.org/10.1021/ja0608545
2.
Fleming JJ, Du Bois J. 2006. A Synthesis of (+)-Saxitoxin. J. Am. Chem. Soc.. 128(12):3926-3927. https://doi.org/10.1021/ja0608545
3.
Kim M, Mulcahy JV, Espino CG, Du Bois J. 2006. Expanding the Substrate Scope for C?H Amination Reactions:? Oxidative Cyclization of Urea and Guanidine Derivatives. Org. Lett.. 8(6):1073-1076. https://doi.org/10.1021/ol052920y
4.
Wehn PM, Du Bois J. 2005. Exploring New Uses for C?H Amination:? Ni-Catalyzed Cross-Coupling of Cyclic Sulfamates. Org. Lett.. 7(21):4685-4688. https://doi.org/10.1021/ol051896l
5.
Espino CG, Fiori KW, Kim M, Du Bois J. 2004. Expanding the Scope of C?H Amination through Catalyst Design. J. Am. Chem. Soc.. 126(47):15378-15379. https://doi.org/10.1021/ja0446294
6.
Williams Fiori K, Fleming JJ, Du Bois J. 2004. Rh-Catalyzed Amination of Ethereal C??H Bonds: A Versatile Strategy for the Synthesis of Complex Amines. Angew. Chem. Int. Ed.. 43(33):4349-4352. https://doi.org/10.1002/anie.200460791
7.
Wehn PM, Lee J, Du Bois J. 2003. Stereochemical Models for Rh-Catalyzed Amination Reactions of Chiral Sulfamates. Org. Lett.. 5(25):4823-4826. https://doi.org/10.1021/ol035776u
8.
Hinman A, Du Bois J. 2003. A Stereoselective Synthesis of (?)-Tetrodotoxin. J. Am. Chem. Soc.. 125(38):11510-11511. https://doi.org/10.1021/ja0368305
Sign In To Continue

To continue reading please sign in or create an account.

Don't Have An Account?