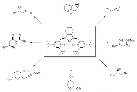
Salen Ligands
Salen molecules have been studied for more than six decades. However, in 1990 Jacobsen and Katsuki independently published the first reports of salen used as ligands with manganese for asymmetric epoxidation reactions.1 Since these first reports, the area of metal-salen catalysis has expanded greatly. A plethora of metal-salen complexes have been synthesized and used in a variety of catalyzed asymmetric transformations.2 For example, chromium and cobalt salen complexes catalyze the epoxidation of unfunctionalized olefins with high levels of enantioselectivities.3 Aluminum salen complexes catalyze the conjugate addition of azide to unsaturated imides.4 The easy synthesis and modifications of the salen ligand framework made it the platform of choice for the discovery of new catalysts and reactions.

Scheme 1.Examples of the versatility of the salen complexes
Related Products
References
To continue reading please sign in or create an account.
Don't Have An Account?