Visible-light Photoredox Catalysis
Introduction to Photoredox Catalysis
Visible light photoredox catalysis has emerged as a powerful tool in organic synthesis, building upon the foundation set by early pioneers in the areas of radical chemistry and photochemistry. Photoredox chemistry allows one to forge new bonds via open shell pathways and facilitates the rapid assembly of complex products en route to new areas of chemical space. Many transition-metal complexes and organocatalysts capable of initiating radical formation in the presence of visible light have been shown to facilitate a wide array of synthetic transformations including but not limited to cross-coupling, C-H functionalization, alkene and arene functionalization, and trifluoromethylation. A key aspect to visible light photoredox catalysis is the choice of light source.
About the SynLED Parallel Photoreactor 2.0
A long-standing challenge in the field of photoredox catalysis is reproducibility between reaction setups as well as across individual reactions performed with the same setup. Our SynLED Parallel Photoreactor 2.0 (Z744080 & Z744081) seeks to alleviate these issues by enabling small-scale photocatalysis reaction screening as well as rapid library generation while ensuring high levels of consistency across reactions and between runs with additional upgrades upon version 1. The photoreactor houses a 4 x 4 reaction block lit from the bottom with either 365 or 450 nm wavelength LEDs allowing for 16 simultaneous reactions in 2 dram or smaller scintillation or microwave vials. The newly designed reactor adds an improved heat sink technology and a performance quartz LED cover to protect the light source from solvents while still enabling excellent light penetration. The setup was designed to fit on a conventional stir plate, including a round cutout to fit firmly on IKA brand stir plates.

Figure 1.SynLED Parallel Photoreactor
SynLed Parallel Photoreactor 2.0 Features and Specs:
- Bottom-lit LEDs (365 or 450 nm) across a 4x4 reaction block array provides consistent light intensity (320 lm) and angle (60° and 45°, respectively)
- Built-in heat sink technology provides consistent temperature to each parallel reaction
- Uses 1-2 dram scintillation vials or microwave vials (O.D. of 1.7 cm or less)
- Power supply is wall plug power supply 700mA 12 W. Includes universal plug adapter
- Compatible with IKA magnetic stirrer with round plate
- Compatible with liquid scintillation vials (8 mL Wheaton, Z188719)
SynLED Parallel Photoreactor in the Literature
- Access to Unnatural α-Amino Acids via Visible-Light-Mediated Decarboxylative Conjugate Addition to Dehydroalanine
- Development of a Large-Enrollment Course-Based Research Experience in an Undergraduate Organic Chemistry Laboratory: Structure–Function Relationships in Pyrylium Photoredox Catalysts
- Derivatization of Amino Acids and Peptides via Photoredox-Mediated Conjugate Addition
- Direct Synthesis of Polysubstituted Aldehydes via Visible‐Light Catalysis
- Photoredox Catalysis for Silyl‐Mediated C–H Alkylation of Heterocycles with Non‐Activated Alkyl Bromides
- Visible-light-driven metal-free aerobic synthesis of highly diastereoselective phosphinoylpyrroloindoles
About the Penn PhD Photoreactor M2
The Penn PhD Photoreactor M2 (Z744035) is a benchtop instrument designed to facilitate consistency and reproducibility in photoredox catalysis across a wide range of reaction scales. The Photoreactor M2 combines LED illumination, mechanical stirring and cooling into one device while accepting reaction vials from 1 mL up to 40 mL. The touch screen user interface allows the chemist to precisely control temperature, intensity, stir rate and time, creating a valuable tool for repeatability, traceability, efficiency and consistency of results. The Photoreactor M2 addresses the potential to streamline synthetic sequences and create valuable strategies for addressing some of the challenges of molecule construction in drug discovery.

Figure 2.Penn PhD Photoreactor M2
Penn PhD Photoreactor M2 Features and Specs:
- Modular design allows for use with a variety of wavelengths from 365nm to 450nm
- 360 degree reflective environment maximizes surface area photon capture.
- Light shield interlock prevents user exposure to harmful light rays.
- Interactive touch screen controls reaction parameters
- User defined parameters including temperature, light intensity, fan speed and stirring.
- Auto stop, pause and reset options
- Supports vial sizes gc, 4, 8, 20, 40 ml
- Temp feedback using a k-type thermocouple
Penn PhD Photoreactor Accessories
These additional light sources and vial holders can be used with the Penn PhD Photoreactor M2 for chemists and researchers to accelerate chemical reactions using photoredox catalysis.
Penn PhD Photoreactor M2 in the Literature
- A General Small-Scale Reactor To Enable Standardization and Acceleration of Photocatalytic Reactions
- Visible-light-driven metal-free aerobic synthesis of highly diastereoselective phosphinoylpyrroloindoles
- C–H Functionalization of Heteroarenes Using Unactivated Alkyl Halides through Visible-Light Photoredox Catalysis under Basic Conditions
- Dual Photoredox/Nickel-Catalyzed Conversion of Aryl Halides to Aryl Aminooxetanes: Computational Evidence for a Substrate-Dependent Switch in Mechanism
- A Metallaphotoredox Method for the Expansion of Benzyl SAR on Electron-Deficient Amines
About the LightOx PhotoReact 365
The LightOx PhotoReact 365 (Z744061) is a benchtop instrument that provides even, directed and reproducible UV illumination at 365nm suitable for photochemical and photobiological reactions. The touch screen interface allows the user to control light intensity, energy delivery rate, and time. LED health over time is monitored using an in-built UV sensor enabling the user to produce rapid, reproducible results. This instrument is suitable for high-throughput screening in multiwell plates, providing researchers with a tool to screen high numbers of compounds and reactions essential for drug discovery.

Figure 4.LightOX Photoreact 365
LightOx PhotoReact 365 Features and Specs:
- Designed for the acceleration of photochemical and photobiological reactions
- For use with a standard size culture multi-well plate (85.5 mm x 128 mm) or single 95 mm round dish
- User selected light output from 0 mW/cm2 to maximum (approx. 13.0 mW/cm2)
- Variance less than 1mW/cm2 (at 100% power) across the well plate surface
- User control of total power output
- Light intensity and temperature monitors included that records measurements every second during operation
- Data export as .csv files
- Device has locking lid that reduces user exposure to harmful light rays
Representative Catalysts and Applications
Late-Stage Incorporation of Small Alkyl Groups into Small Molecules of Biological Interest
Late-Stage Functionalization (LSF) of small, pharmaceutically active molecules can provide modified potency, toxicity and pharmacokinetic profiles with altogether less effort than the ground-up syntheses of analogs. Though LSF with fluorine (and fluorinated alkyl groups) is now readily achieved through use of, amongst other technologies, the zinc sulfinates developed by the Baran Group at Scripps, the incorporation of small, non-fluorous alkyl groups like methyl and ethyl groups has remained an unmet challenge. This is especially relevant as the incorporation of small alkyl groups is likely to yield molecules with more advantageous physiochemical and safety profiles vis à vis their fluorinated brethren.
Ultimately, the late-stage incorporation of methyl, ethyl and cyclopropyl groups to pharmaceutically active small molecules was achieved through a visible light photoredox strategy. Indeed, in the presence of blue light and peroxide alkyl radical precursors, newly available [Ir{dF(CF3)ppy}2(dtbpy)]PF6 catalyst (747793) mediates the formation of the required alkyl radicals (and thus, alkyl group incorporation) typically achieved by methods not amenable to LSF1.
![A chemical diagram showing the structure of [Ir(dFCF3ppy)2(dtbbpy)]PF6 and its role in single-electron processes catalyzed by visible light. It includes reaction pathways for Fasudil (Rho-kinase inhibitor), leading to two products (Me and Et) under specific conditions. A chemical diagram showing the structure of [Ir(dFCF3ppy)2(dtbbpy)]PF6 and its role in single-electron processes catalyzed by visible light. It includes reaction pathways for Fasudil (Rho-kinase inhibitor), leading to two products (Me and Et) under specific conditions.](/content/dam/cms-commons/sigmaaldrich/marketing/global/images/technical-documents/articles/chemistry-and-synthesis/photocatalysis/scheme1.jpg)
Figure 3.Late-Stage Incorporation of Small Alkyl Groups into Small Molecules of Biological Interest
Strategy for Room Temperature Lignin Degradation
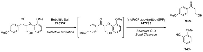
Lignin represents over 30% of non-fossil fuel based organic carbon, and as such this biomass could be made, with the advent of chemoselective degradation processes, into a primary source of carbon-based feedstock material. The Stephenson Group has recently combined two of our innovative products to achieve the selective degradation of lignin-type model compounds in one pot. Indeed, Bobbitt’s salt was used to selectively oxidize benzyl alcohols, followed by photocatalytic reductive C-O bond cleavage to the ketone and alcohol degradation products. This last transformation was achieved without degassing and in the presence of visible light2.
![A chemical diagram depicting the reaction sequence involving Bobbitt's Salt (745537) for selective oxidation, followed by the use of [Ir(dFCF3ppy)2(dtbbpy)]PF6 (747793) for selective C-O bond cleavage. The diagram shows the starting material and the resulting products with their respective yields (93% and 94%). A chemical diagram depicting the reaction sequence involving Bobbitt's Salt (745537) for selective oxidation, followed by the use of [Ir(dFCF3ppy)2(dtbbpy)]PF6 (747793) for selective C-O bond cleavage. The diagram shows the starting material and the resulting products with their respective yields (93% and 94%).](/content/dam/cms-commons/sigmaaldrich/marketing/global/images/technical-documents/articles/chemistry-and-synthesis/photocatalysis/scheme2.jpg)
Figure 3.Strategy for Room Temperature Lignin Degradation
Crossed Intermolecular [2+2] Cycloaddition of Styrenes
The crossed [2 + 2] cycloaddition of styrenes was achieved in high chemoselectivity through use of an appropriately tuned Ru-based visible light photocatalyst. As demonstrated by Prof. Tehshik Yoon, unsymmetrically substituted butanes can thus be prepared on gram scale with Ru(bpm)3.

Figure 4.Crossed Intermolecular [2+2] Cycloaddition of Styrenes
Diversity of Application
Our visible light photocatalysts have been used in applications that truly span organic chemistry (and beyond). Other reactivities that have been explored include:
- Reduction of unactivated alkyl, alkenyl and aryl iodides
- Co-mediated water oxidation for H2 gas production
- Atom-transfer radical addition of haloalkanes to alkenes
- Formal hydroaminoalkylation of alkenes
References
To continue reading please sign in or create an account.
Don't Have An Account?

