登录 查看组织和合同定价。
选择尺寸
变更视图
关于此项目
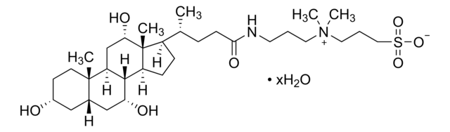
经验公式(希尔记法):
C32H58N2O7S · xH2O
化学文摘社编号:
分子量:
614.88 (anhydrous basis)
NACRES:
NA.22
PubChem Substance ID:
UNSPSC Code:
12161902
MDL number:
description
zwitterionic
Quality Level
assay
98%
mol wt
614.88 g/mol (anhydrous basis)
technique(s)
ion chromatography: suitable, protein quantification: suitable
mp
157 °C (dec.) (lit.)
functional group
amide, amine, hydroxyl, sulfonic acid
SMILES string
O.C[C@H](CCC(=O)NCCC[N+](C)(C)CCCS([O-])(=O)=O)[C@H]1CC[C@H]2[C@@H]3[C@H](O)C[C@@H]4C[C@H](O)CC[C@]4(C)[C@H]3C[C@H](O)[C@]12C
InChI
1S/C32H58N2O7S.H2O/c1-21(8-11-29(38)33-14-6-15-34(4,5)16-7-17-42(39,40)41)24-9-10-25-30-26(20-28(37)32(24,25)3)31(2)13-12-23(35)18-22(31)19-27(30)36;/h21-28,30,35-37H,6-20H2,1-5H3,(H-,33,38,39,40,41);1H2/t21-,22+,23-,24-,25+,26+,27-,28+,30+,31+,32-;/m1./s1
InChI key
SJCUTFKCLFLIFE-JWTJKVBLSA-N
General description
CHAPS 是一种稳定剂,可用于防止溶液中蛋白质的聚集、沉淀或蛋白水解。
Application
用于膜蛋白溶解的两性离子洗涤剂。
wgk
WGK 3
flash_point_f
Not applicable
flash_point_c
Not applicable
Hazard Classifications
Acute Tox. 4 Oral
signalword
Warning
hcodes
存储类别
11 - Combustible Solids
A J Bitonti et al.
Biochemistry, 21(15), 3650-3653 (1982-07-20)
Bovine brain adenylate cyclase was solubilized with 3-[(3-cholamidopropyl)dimethylammonio]-1-propanesulfonate (CHAPS), sodium cholate, sodium deoxycholate, or these detergents plus (NH4)2SO4. The specific activity of the extract obtained with 13 mM CHAPS alone was several times those of the other detergent extracts with
Zerbe O
BioNMR in Drug Research, 420-420 (2006)
J E Rudzki et al.
Biochemistry, 23(17), 3843-3848 (1984-08-14)
Picosecond transient absorption spectra of rhodopsin and isorhodopsin were measured at room temperature with a double-beam laser spectrophotometer after excitation at 355 nm. Photolysis studies were performed on rhodopsin solubilized in two different detergents (digitonin and 3-[(3-cholamidopropyl)dimethylammonio]-1-propanesulfonate). The resulting rhodopsin/bathorhodopsin
全球贸易项目编号
| 货号 | GTIN |
|---|---|
| 226947-1G | 04061838780454 |
| 226947-5G | 04061838780461 |
