跳转至内容
Merck
CN

230162

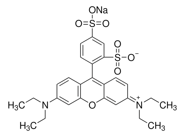
磺酰罗丹明B

Dye content 75 %

别名:

磺酰罗丹明B 单钠盐, 酸性红52

登录 查看组织和合同定价。

选择尺寸

变更视图

关于此项目

经验公式(希尔记法):
C27H29N2NaO7S2
化学文摘社编号:
分子量:
580.65
NACRES:
NA.47
PubChem Substance ID:
UNSPSC Code:
12171500
Colour Index Number:
45100
EC Number:
222-529-8
MDL number:
Beilstein/REAXYS Number:
3886008
技术服务
需要帮助?我们经验丰富的科学家团队随时乐意为您服务。
让我们为您提供帮助


assay

≥73% (HPLC)

form

powder

composition

Dye content, 75%

technique(s)

microbe id | staining: suitable

color

brown to very dark brown, green to very dark green

solubility

methanol: 1 mg/mL

λmax

554 nm

ε (extinction coefficient)

≥85000 at 554-560 nm in 0.1 M NaOH in methanol at 0.005 g/L

application(s)

diagnostic assay manufacturing
hematology
histology

storage temp.

room temp

SMILES string

[Na+].CCN(CC)c1ccc2c(OC3=CC(\C=CC3=C2c4ccc(cc4S([O-])(=O)=O)S([O-])(=O)=O)=[N+](\CC)CC)c1

InChI

1S/C27H30N2O7S2.Na/c1-5-28(6-2)18-9-12-21-24(15-18)36-25-16-19(29(7-3)8-4)10-13-22(25)27(21)23-14-11-20(37(30,31)32)17-26(23)38(33,34)35;/h9-17H,5-8H2,1-4H3,(H-,30,31,32,33,34,35);/q;+1/p-1

InChI key

SXQCTESRRZBPHJ-UHFFFAOYSA-M

General description

磺酰罗丹明B(SRB)是一种亮粉色氨基甲氧杂蒽类染料。磺酰罗丹明B(SRB)测定被广泛用于 体外 细胞毒性筛选。SRB以化学计量方式与细胞的蛋白质成分结合。因此,从染色细胞中提取的染料量与细胞质量成正比。SRB还可用于细胞密度测定。

Application

磺酰罗丹明B已被用作MCF-7(人乳腺癌细胞系)细胞增殖实验的染料。


存储类别

11 - Combustible Solids

wgk

WGK 2

flash_point_f

Not applicable

flash_point_c

Not applicable

ppe

Eyeshields, Gloves, type N95 (US)



历史批次信息供参考:

分析证书(COA)

Lot/Batch Number

没有发现合适的版本?

如果您需要特殊版本,可通过批号或批次号查找具体证书。

已有该产品?

在文件库中查找您最近购买产品的文档。

访问文档库



Christian A Ruge et al.
Colloids and surfaces. B, Biointerfaces, 139, 219-227 (2016-01-01)
The conversion of colloidal drug carriers/polymeric nanoparticles into dry microparticulate powders (e.g., by spray-drying) is a prominent approach to overcome the aerodynamic limitations of these formulations for delivery via inhalation. However, to what extent such nano-embedded microparticles disintegrate into individual/intact
Endocrine disrupting effects in vitro of conazole antifungals used as pesticides and pharmaceuticals
Kj?rstad MB
Reproductive Toxicology, 30, 573-582 (2010)
Sulforhodamine B colorimetric assay for cytotoxicity screening
Vichai V
Nature Protocols, 1, 1112?1116-1112?1116 (2006)



全球贸易项目编号

货号GTIN
230162-5G04061838782410
230162-1G04061838782403