跳转至内容
Merck
CN

900693

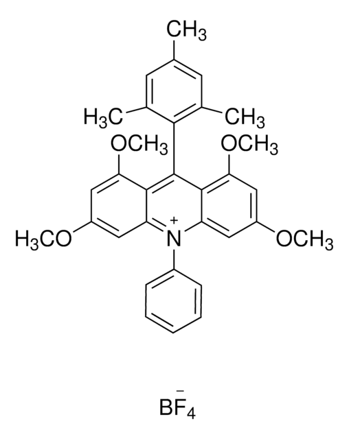
9-均三甲苯基-1,3,6,8-四甲氧基-10-苯基吖啶-10-四氟硼酸铵

95%, powder or crystals

登录 查看组织和合同定价。

选择尺寸

变更视图

关于此项目

经验公式(希尔记法):
C32H32NO4BF4
化学文摘社编号:
分子量:
581.41
MDL number:
UNSPSC Code:
12161600
NACRES:
NA.22
技术服务
需要帮助?我们经验丰富的科学家团队随时乐意为您服务。
让我们为您提供帮助


产品名称

9-均三甲苯基-1,3,6,8-四甲氧基-10-苯基吖啶-10-四氟硼酸铵, 95%

Quality Level

assay

95%

form

powder or crystals

reaction suitability

core: acridinium, reagent type: catalyst
reaction type: Photocatalysis

photocatalyst activation

450 nm

SMILES string

CC1=CC(C)=CC(C)=C1C2=C(C(OC)=CC(OC)=C3)C3=[N+](C4=CC=CC=C4)C5=CC(OC)=CC(OC)=C52.FB(F)F.[F-]

InChI

1S/C32H32NO4.BF3.FH/c1-19-13-20(2)29(21(3)14-19)32-30-25(15-23(34-4)17-27(30)36-6)33(22-11-9-8-10-12-22)26-16-24(35-5)18-28(37-7)31(26)32;2-1(3)4;/h8-18H,1-7H3;;1H/q+1;;/p-1

InChI key

HCYMGKLDRBXSLK-UHFFFAOYSA-M

Application

Nicewicz及其同事报道了一种强大的吖啶光催化剂,可作为过渡金属光催化剂的替代品,具有更高的化学稳定性和减弱的氧化还原电位。

产品适配我们的光反应器系列:包括Penn PhD(Z744035)& SynLED 2.0 (Z744080


存储类别

11 - Combustible Solids

wgk

WGK 3

flash_point_f

Not applicable

flash_point_c

Not applicable



历史批次信息供参考:

分析证书(COA)

Lot/Batch Number

It looks like we've run into a problem, but you can still download Certificates of Analysis from our 文件 section.

如需帮助,请联系 客户支持

已有该产品?

在文件库中查找您最近购买产品的文档。

访问文档库


相关内容

Nicewicz lab focuses on reactive cation radical species for selective reactions, advancing synthesis methodologies for various functional groups.