跳转至内容
Merck
CN

900950

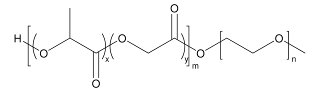
聚(乙二醇)甲醚-嵌段-聚(丙交酯-co-乙交酯)

PEG average Mn 5,000, PLGA Mn 5,000, lactide:glycolide 50:50

别名:

PEG-PLGA, mPEG-b-PLGA

登录 查看组织和合同定价。

选择尺寸

变更视图

关于此项目

线性分子式:
H[(C3H4O2)x(C2H2O2)y]mO[C2H4O]nCH3
化学文摘社编号:
NACRES:
NA.23
UNSPSC Code:
51171641
技术服务
需要帮助?我们经验丰富的科学家团队随时乐意为您服务。
让我们为您提供帮助


form

crystals

Quality Level

feed ratio

lactide:glycolide 50:50

mol wt

PEG average Mn 5,000, PLGA Mn 5,000

impurities

≤5000 ppm (GC)

storage temp.

−20°C

General description

通过 GC 分析含有 ≤500 ppm 杂质,包括痕量单体和残留有机物。

Application

生物相容性嵌段共聚物,可用于形成用于药物传递的纳米颗粒具有用于癌症药物、抗炎药、抗生素或麻醉剂的靶向或受控释放的潜力。


Still not finding the right product?


存储类别

11 - Combustible Solids

wgk

WGK 3

flash_point_f

Not applicable

flash_point_c

Not applicable



历史批次信息供参考:

分析证书(COA)

Lot/Batch Number

没有发现合适的版本?

如果您需要特殊版本,可通过批号或批次号查找具体证书。

已有该产品?

在文件库中查找您最近购买产品的文档。

访问文档库



Fabienne Danhier et al.
Journal of controlled release : official journal of the Controlled Release Society, 133(1), 11-17 (2008-10-28)
The purpose of this study was to develop Cremophor EL-free nanoparticles loaded with Paclitaxel (PTX), intended to be intravenously administered, able to improve the therapeutic index of the drug and devoid of the adverse effects of Cremophor EL. PTX-loaded PEGylated
Miles A Miller et al.
Nature communications, 6, 8692-8692 (2015-10-28)
Therapeutic nanoparticles (TNPs) aim to deliver drugs more safely and effectively to cancers, yet clinical results have been unpredictable owing to limited in vivo understanding. Here we use single-cell imaging of intratumoral TNP pharmacokinetics and pharmacodynamics to better comprehend their
R Gref et al.
Science (New York, N.Y.), 263(5153), 1600-1603 (1994-03-18)
Injectable nanoparticulate carriers have important potential applications such as site-specific drug delivery or medical imaging. Conventional carriers, however, cannot generally be used because they are eliminated by the reticulo-endothelial system within seconds or minutes after intravenous injection. To address these



全球贸易项目编号

货号GTIN
900950-1G04061826648308