跳转至内容
Merck
CN

905232

(S,R,S)-AHPC-C6-PEG3-butyl amine hydrochloride

≥95%

别名:

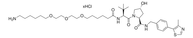
(2S,4R)-1-((S)-22-Amino-2-(tert-butyl)-4-oxo-10,13,16-trioxa-3-azadocosanoyl)-4-hydroxy-N-(4-(4-methylthiazol-5-yl)benzyl)pyrrolidine-2-carboxamide, (S,R,S)-AHPC-6-2-2-6-NH2 HCl salt, Crosslinker−E3 ligase ligand conjugate, Protein degrader building block for PROTAC® research, Template for synthesis of targeted protein degrader, VH032 conjugate

登录 查看组织和合同定价。

选择尺寸

变更视图

关于此项目

经验公式(希尔记法):
C38H61N5O7S · xHCl
分子量:
731.99 (free base basis)
MDL number:
UNSPSC Code:
12352101
NACRES:
NA.22
技术服务
需要帮助?我们经验丰富的科学家团队随时乐意为您服务。
让我们为您提供帮助


ligand

VH032

assay

≥95%

form

powder or crystals

reaction suitability

reactivity: carboxyl reactive, reagent type: ligand-linker conjugate

functional group

amine

storage temp.

2-8°C

SMILES string

NCCCCCCOCCOCCOCCCCCC(N[C@H](C(N1[C@H](C(NCC2=CC=C(C3=C(C)N=CS3)C=C2)=O)C[C@@H](O)C1)=O)C(C)(C)C)=O.Cl

InChI

1S/C38H61N5O7S.ClH/c1-28-34(51-27-41-28)30-15-13-29(14-16-30)25-40-36(46)32-24-31(44)26-43(32)37(47)35(38(2,3)4)42-33(45)12-8-7-11-19-49-21-23-50-22-20-48-18-10-6-5-9-17-39;/h13-16,27,31-32,35,44H,5-12,17-26,39H2,1-4H3,(H,40,46)(H,42,45);1H/t31-,32+,35-;/

InChI key

AROZTUBYMZDNDZ-PRVWZYNMSA-N

Application

Protein degrader builiding block (S,R,S)-AHPC-C6-PEG3-butyl amine (HCl salt) enables the synthesis of molecules for targeted protein degradation and PROTAC (proteolysis-targeting chimeras) technology. This conjugate contains a von Hippel-Lindau (VHL)-recruiting ligand, a linker with both hydrophobic and hydrophilic moieties, and a pendant amine for reactivity with a carboxyl group on the target ligand. Because even slight alterations in ligands and crosslinkers can affect ternary complex formation between the target, E3 ligase, and PROTAC, many analogs are prepared to screen for optimal target degradation. When used with other protein degrader building blocks with a pendant amine, parallel synthesis can be used to more quickly generate PROTAC libraries that feature variation in crosslinker length, composition, and E3 ligase ligand.

Automate your VHL-PEG based PROTACs with Synple Automated Synthesis Platform (SYNPLE-SC002)

Legal Information

PROTAC is a registered trademark of Arvinas Operations, Inc., and is used under license


存储类别

11 - Combustible Solids

flash_point_f

Not applicable

flash_point_c

Not applicable



历史批次信息供参考:

分析证书(COA)

Lot/Batch Number

It looks like we've run into a problem, but you can still download Certificates of Analysis from our 文件 section.

如需帮助,请联系 客户支持

已有该产品?

在文件库中查找您最近购买产品的文档。

访问文档库


商品

Protein Degrader Building Blocks are a collection of crosslinker-E3 ligand conjugates with a pendant functional group for covalent linkage to a target ligand.