跳转至内容
Merck
CN

929328

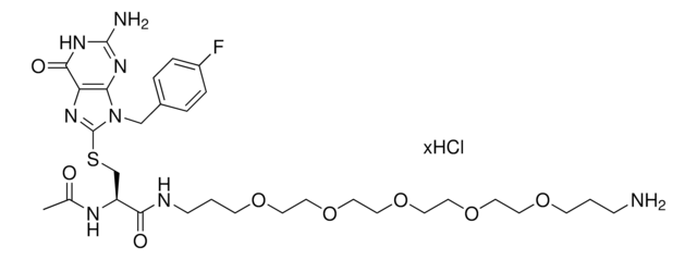
FBnG-C3-PEG5-C3-NH2 hydrochloride

≥95%

别名:

(R)-2-acetamido-3-((2-amino-9-(4-fluorobenzyl)-6-oxo-6,9-dihydro-1H-purin-8-yl)thio)-N-(19-amino-4,7,10,13,16-pentaoxanonadecyl)propanamide hydrochloride

登录 查看组织和合同定价。

选择尺寸

变更视图

关于此项目

经验公式(希尔记法):
C31H47FN8O8S · xHCl
分子量:
710.82 (free base basis)
UNSPSC Code:
12352101
NACRES:
NA.21
技术服务
需要帮助?我们经验丰富的科学家团队随时乐意为您服务。
让我们为您提供帮助


Quality Level

assay

≥95%

form

powder

functional group

amine

storage temp.

2-8°C

SMILES string

O=C1NC(N)=NC2=C1N=C(SC[C@@H](C(NCCCOCCOCCOCCOCCOCCCN)=O)NC(C)=O)N2CC3=CC=C(C=C3)F.Cl

Application

Protein degrader building block FBnG-C3-PEG5-C3-NH2 hydrochloride enables the synthesis of molecules for degradation of proteins and PROTAC® (proteolysis-targeting chimeras) research. This conjugate contains a p-fluorobenzylguanine (FBnG) ligand, a PEG linker, and a pendant amine for reactivity with a carboxylic acid on the target ligand. Because even slight alterations in ligands and crosslinkers can affect ternary complex formation between the target, E3 ligase, and degrader, many analogs are prepared to screen for optimal target degradation. When used with other protein degrader building blocks with a terminal amine, parallel synthesis can be used to more quickly generate degrader libraries that feature variation in crosslinker length, composition, and E3 ligase ligand.


Technology Spotlight: Degrader Building Blocks for Targeted Protein Degradation

Protein Degrader Building Blocks

Legal Information

PROTAC is a registered trademark of Arvinas Operations, Inc., and is used under license


存储类别

11 - Combustible Solids

wgk

WGK 3

flash_point_f

Not applicable

flash_point_c

Not applicable

法规信息

新产品

此项目有



历史批次信息供参考:

分析证书(COA)

Lot/Batch Number

It looks like we've run into a problem, but you can still download Certificates of Analysis from our 文件 section.

如需帮助,请联系 客户支持

已有该产品?

在文件库中查找您最近购买产品的文档。

访问文档库