选择尺寸
关于此项目
Quality Level
product line
BioUltra
mol wt
micellar avg mol wt 70,000
aggregation number
60
CMC
<0.5 mM (20-25°C)
mp
230-240 °C (dec.) (lit.)
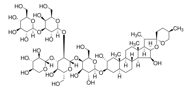
SMILES string
C[C@@]12[C@]([C@@H]3C)([H])[C@](O[C@]34CC[C@@H](C)CO4)([H])[C@@H](O)[C@@]1([H])[C@@](CC[C@]5([H])[C@@]6(C[C@@H](O)[C@H](O[C@]([C@@H]([C@@H](O)[C@H]7O[C@@](O[C@H](CO)[C@@H](O)[C@@H]8O[C@@](OC[C@@H](O)[C@@H]9O)([H])[C@@H]9O)([H])[C@@H]8O[C@@](O[C@H](CO)[C@H
InChI
1S/C56H92O29/c1-19-7-10-56(75-17-19)20(2)31-45(85-56)37(67)32-22-6-5-21-11-26(24(61)12-55(21,4)23(22)8-9-54(31,32)3)76-50-42(72)39(69)44(30(16-60)80-50)81-53-48(47(36(66)29(15-59)79-53)83-49-40(70)33(63)25(62)18-74-49)84-52-43(73)46(35(65)28(14-58)78-52)82-51-41(71)38(68)34(64)27(13-57)77-51/h19-53,57-73H,5-18H2,1-4H3/t19-,20+,21+,22-,23+,24-,25-,26-,27-,28-,29-,30-,31+,32-,33+,34-,35+,36-,37+,38+,39-,40-,41-,42-,43-,44+,45-,46+,47+,48-,49+,50-,51+,52+,53+,54-,55+,56-/m1/s1
InChI key
UVYVLBIGDKGWPX-KUAJCENISA-N
General description
Moreover, Digitonin selectively permeabilizes the cholesterol-rich plasma membrane, leaving organelle membranes intact. This feature facilitates the extraction and purification of specific organelles, contributing to the study of their functions and roles in cellular processes. The detergent′s capability to permeabilize diverse cell types allows the study of intracellular components and processes by introducing molecules, antibodies, or enzymes into cells. Additionally, Digitonin finds application in immunocytochemistry experiments, enabling the labeling and detection of intracellular proteins and structures.
Application
Features and Benefits
Still not finding the right product?
Explore all of our products under 毛地黄皂苷
signalword
Danger
hcodes
Hazard Classifications
Acute Tox. 3 Oral - STOT RE 2
存储类别
6.1C - Combustible acute toxic Cat.3 / toxic compounds or compounds which causing chronic effects
wgk
WGK 3
flash_point_f
Not applicable
flash_point_c
Not applicable

