跳转至内容
Merck
CN

78544

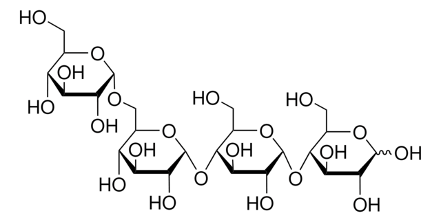
葡萄糖四糖

≥99.0% (TLC)

别名:

Glcα1-6Glcα1-4Glcα1-4Glc

登录 查看组织和合同定价。

选择尺寸

变更视图

关于此项目

经验公式(希尔记法):
C24H42O21
化学文摘社编号:
分子量:
666.58
NACRES:
NA.28
PubChem Substance ID:
UNSPSC Code:
12352201
MDL number:
技术服务
需要帮助?我们经验丰富的科学家团队随时乐意为您服务。
让我们为您提供帮助


Quality Level

assay

≥99.0% (TLC)

form

powder

color

white

suitability

corresponds for LC-MS

storage temp.

room temp

SMILES string

OC[C@H]1O[C@H](OC[C@H]2O[C@H](O[C@H]3[C@H](O)[C@@H](O)[C@H](O[C@@H]3CO)O[C@H]4[C@H](O)[C@@H](O)C(O)O[C@@H]4CO)[C@H](O)[C@@H](O)[C@@H]2O)[C@H](O)[C@@H](O)[C@@H]1O

InChI

1S/C24H42O21/c25-1-5-9(28)11(30)16(35)22(41-5)39-4-8-10(29)12(31)17(36)23(43-8)45-20-7(3-27)42-24(18(37)14(20)33)44-19-6(2-26)40-21(38)15(34)13(19)32/h5-38H,1-4H2/t5-,6-,7-,8-,9-,10-,11+,12+,13-,14-,15-,16-,17-,18-,19-,20-,21?,22+,23-,24-/m1/s1

InChI key

FPBCRLIOSBQLHS-QVTSYAGHSA-N

Application

葡萄糖四糖(Glc4)用作分析尿糖四糖(庞贝氏症和其他糖原贮积病的生物标志物)的参考。

Packaging

无底玻璃瓶。内含物在插入的融合锥体内。

Other Notes

为了全面了解我们针对客户研究提供的各种单糖产品,建议您访问我们的碳水化合物分类页面。


存储类别

11 - Combustible Solids

wgk

WGK 3

flash_point_f

Not applicable

flash_point_c

Not applicable

ppe

Eyeshields, Gloves, type N95 (US)

法规信息

涉药品监管产品

此项目有



历史批次信息供参考:

分析证书(COA)

Lot/Batch Number

没有发现合适的版本?

如果您需要特殊版本,可通过批号或批次号查找具体证书。

已有该产品?

在文件库中查找您最近购买产品的文档。

访问文档库



Yoav H Messinger et al.
Genetics in medicine : official journal of the American College of Medical Genetics, 14(1), 135-142 (2012-01-13)
Infantile Pompe disease resulting from a deficiency of lysosomal acid α-glucosidase (GAA) requires enzyme replacement therapy (ERT) with recombinant human GAA (rhGAA). Cross-reactive immunologic material negative (CRIM-negative) Pompe patients develop high-titer antibody to the rhGAA and do poorly. We describe
Victoria Manwaring et al.
Journal of inherited metabolic disease, 35(2), 311-316 (2011-06-21)
A high performance liquid chromatography method, adapted from an established urinary sugars method, has been developed for the analysis of a tetraglucose oligomer (Glc(4)) in urine. Pompe disease results from defects in the activity of lysosomal acid α-glucosidase (GAA) with
Zoheb B Kazi et al.
Genetics in medicine : official journal of the American College of Medical Genetics, 21(4), 887-895 (2018-09-15)
To investigate immune tolerance induction with transient low-dose methotrexate (TLD-MTX) initiated with recombinant human acid α-glucosidase (rhGAA), in treatment-naïve cross-reactive immunologic material (CRIM)-positive infantile-onset Pompe disease (IOPD) patients. Newly diagnosed IOPD patients received subcutaneous or oral 0.4 mg/kg TLD-MTX for 3



全球贸易项目编号

货号GTIN
78544-1MG04061826054536