跳转至内容
Merck
CN

A3480

阿托西班

≥98% (HPLC), oxytocin receptor antagonist, lyophilized powder

别名:

1-(3-巯基丙酸)-2-(O-乙基-D-酪氨酸)-4-L-苏氨酸-8-L-鸟氨酸催产素, 1-脱氨基-2-d-酪氨酸-(O-乙基)-4-苏氨酸-8-鸟氨酸催产素, 醋酸阿托西班

登录 查看组织和合同定价。

选择尺寸

变更视图

关于此项目

经验公式(希尔记法):
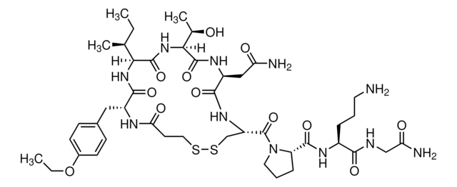
C43H67N11O12S2
化学文摘社编号:
分子量:
994.19
UNSPSC Code:
51111800
PubChem Substance ID:
NACRES:
NA.77
MDL number:
Assay:
≥98% (HPLC)
Form:
lyophilized powder
Quality level:
Storage condition:
desiccated
技术服务
需要帮助?我们经验丰富的科学家团队随时乐意为您服务。
让我们为您提供帮助


产品名称

阿托西班, ≥98% (HPLC)

Quality Level

assay

≥98% (HPLC)

form

lyophilized powder

storage condition

desiccated

color

white

solubility

H2O: ≤100 mg/mL

originator

Ferring

shipped in

wet ice

storage temp.

−20°C

SMILES string

[H][C@]1(NC(=O)[C@@]([H])(NC(=O)[C@@H](Cc2ccc(OCC)cc2)NC(=O)CCSSC[C@H](NC(=O)[C@H](CC(N)=O)NC1=O)C(=O)N3CCC[C@H]3C(=O)N[C@@H](CCCN)C(=O)NCC(N)=O)[C@@H](C)CC)[C@@H](C)O

InChI

1S/C43H67N11O12S2/c1-5-23(3)35-41(63)53-36(24(4)55)42(64)50-29(20-32(45)56)38(60)51-30(43(65)54-17-8-10-31(54)40(62)49-27(9-7-16-44)37(59)47-21-33(46)57)22-68-67-18-15-34(58)48-28(39(61)52-35)19-25-11-13-26(14-12-25)66-6-2/h11-14,23-24,27-31,35-36,55H,5-10,15-22,44H2,1-4H3,(H2,45,56)(H2,46,57)(H,47,59)(H,48,58)(H,49,62)(H,50,64)(H,51,60)(H,52,61)(H,53,63)/t23-,24+,27-,28+,29-,30-,31-,35-,36-/m0/s1

InChI key

VWXRQYYUEIYXCZ-OBIMUBPZSA-N

Gene Information

human ... AVPR1A(552), OXTR(5021)
rat ... Oxtr(25342)

Application

阿托西班已用于:
  • 作为催产素受体拮抗剂
  • 用于子宫肌膜细胞钙离子动员实验的Z-因子测定并作为抑制早产临产的治疗药剂
  • 抑制小鼠臂旁核催产素受体表达神经元(OxtrPBN)的活化

Biochem/physiol Actions

阿托西班可高效抑制早产子宫收缩,不会产生任何严重的心血管、肺或中枢神经系统副作用。它可用于治疗早产临产。
阿托西班是一种肽催产素受体拮抗剂。

Features and Benefits

该化合物由Ferring开发。要浏览其他药物开发化合物和批准的药物/候选药物列表,单击此处

Preparation Note

在去离子水中以不低于100 μg/mL进行重悬,然后可将其稀释成所选的水相载体。溶液可以在2-8℃下储存最长达七天。如需延长储存时间,可加入0.1%人血清白蛋白或牛血清白蛋白的载体蛋白,并按工作用量分装后冻存在−20 °C。


存储类别

11 - Combustible Solids

wgk

WGK 3

flash_point_f

Not applicable

flash_point_c

Not applicable



历史批次信息供参考:

分析证书(COA)

Lot/Batch Number

没有发现合适的版本?

如果您需要特殊版本,可通过批号或批次号查找具体证书。

已有该产品?

在文件库中查找您最近购买产品的文档。

访问文档库



Vassilis Tsatsaris et al.
Drugs, 64(4), 375-382 (2004-02-19)
Oxytocin antagonists are synthetic analogues that have the nonapeptide structure of oxytocin. They act by competing with oxytocin for receptors in the myometrium. Animal experiments and pilot clinical studies have examined several agents and, of these, atosiban has been the
Effectiveness and safety of the oxytocin antagonist atosiban versus beta-adrenergic agonists in the treatment of preterm labour
versus Beta-agonists, The Worldwide Atosiban and others
British Journal of Obstetrics and Gynaecology, 108(2), 133-142 (2001)
Raed Salim et al.
Obstetrics and gynecology, 120(6), 1323-1331 (2012-11-22)
To compare the tocolytic efficacy and tolerability of nifedipine with that of atosiban among pregnant women with preterm labor. Pregnant women admitted with preterm labor and intact membranes between 24 and 33 weeks 6 days of gestation, between January 2008



全球贸易项目编号

货号GTIN
A3480-10MG04061833360958