Skip to Content
Merck
CN

600148

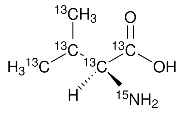
L-Valine-13C5,15N

98 atom % 15N, 98 atom % 13C, 95% (CP)

Synonym(s):

SILAC Amino Acid, (S)-α-Aminoisovaleric acid-13C5,15N, L-2-Amino-3-methylbutanoic acid-13C5,15N, L-Valine-ul-13C,15N, 13C and 15N Labeled L-valine

Sign In to View Organizational & Contract Pricing.

Select a Size

Change View

About This Item

Linear Formula:
(13CH3)213CH13CH(15NH2)13CO2H
CAS Number:
Molecular Weight:
123.10
NACRES:
NA.12
PubChem Substance ID:
UNSPSC Code:
12352209
MDL number:
Isotopic purity:
98 atom % 13C, 98 atom % 15N
Assay:
95% (CP)
Mass shift:
M+6
Form:
solid
Technical Service
Need help? Our team of experienced scientists is here for you.
Let Us Assist


Quality Level

isotopic purity

98 atom % 13C, 98 atom % 15N

assay

95% (CP)

form

solid

optical activity

[α]25/D +26.6°, c = 1 in 5 M HCl

technique(s)

bio NMR: suitable, protein expression: suitable

mp

295-300 °C (subl.) (lit.)

mass shift

M+6

storage temp.

room temp

SMILES string

[H][13C@]([15NH2])([13CH]([13CH3])[13CH3])[13C](O)=O

InChI

1S/C5H11NO2/c1-3(2)4(6)5(7)8/h3-4H,6H2,1-2H3,(H,7,8)/t4-/m0/s1/i1+1,2+1,3+1,4+1,5+1,6+1

InChI key

KZSNJWFQEVHDMF-XAFSXMPTSA-N

Application

L-Valine-13C5,15N is an isotopically labeled amino acid, wherein carbon and nitrogen atoms of L-valine are replaced by 13C5 and 15N isotopes. It can be used as an internal standard in the study of glucose metabolism and the quantitative determination of peptides.

Packaging

This product may be available from bulk stock and can be packaged on demand. For information on pricing, availability and packaging, please contact Stable Isotopes Customer Service.


Still not finding the right product?

Explore all of our products under L-Valine-13C5,15N


Storage Class

11 - Combustible Solids

wgk

WGK 1

flash_point_f

Not applicable

flash_point_c

Not applicable

ppe

dust mask type N95 (US), Eyeshields, Gloves



Choose from one of the most recent versions:

Certificates of Analysis (COA)

Lot/Batch Number

Don't see the Right Version?

If you require a particular version, you can look up a specific certificate by the Lot or Batch number.

Already Own This Product?

Find documentation for the products that you have recently purchased in the Document Library.

Visit the Document Library



Global Trade Item Number

SKUGTIN
600148-1G04061826297704
600148-250MG04061832646640