Skip to Content
Merck
CN
HomeAminophosphine Ligands

Aminophosphine Ligands

The growth in popularity of aminophosphine ligands in asymmetric synthesis is in part due to the growing number of convenient synthetic pathways leading to useful ligand sets.1 Several groups have been using amino acids as precursors to synthesize these ligands. Researchers at Kanata have synthesized several sets of aminophosphine ligands showing great reactivity and selectivity in a wide array of enantioselective reactions.

Ruthenium Hydrogenation Catalysts

A growing area of application for aminophosphine ligands in asymmetric synthesis is in ruthenium-catalyzed hydrogenations.4 This process is integral in the preparation of alcohols and amines, which are essential in the pharmaceutical, agrochemical, material, and fine chemicals industries.

Chen et al. have described the use of ferrocenylaminophosphines in the ruthenium-catalyzed asymmetric hydrogenation of acetonaphthone.4 Using precatalysts [RuCl2(benzene)]2 and the ferrocenyl based aminophosphine ligand, they found that the hydrogenation proceeded quickly with reasonable enantioselectivity (Scheme 1).

Scheme 1

Scheme 1.

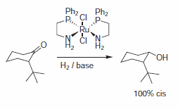
Abdur-Rashid et al. reported the synthesis of cis-2-tert-butylcyclohexyl alcohol using bis-2-(diphenylphosphino)ethylamine ruthenium dichloride as a catalyst.5 Excellent selectivities were reported yielding only the cis-product (Scheme 2).

Scheme 2

Scheme 2.

Materials

Loading

References

1.
Abdur-Rashid K, Clapham SE, Hadzovic A, Harvey JN, Lough AJ, Morris RH. 2002. Mechanism of the Hydrogenation of Ketones Catalyzed bytrans-Dihydrido(diamine)ruthenium(II) Complexes?. J. Am. Chem. Soc.. 124(50):15104-15118. https://doi.org/10.1021/ja016817p
2.
Abdur-Rashid K, Faatz M, Lough AJ, Morris RH. 2001. Catalytic Cycle for the Asymmetric Hydrogenation of Prochiral Ketones to Chiral Alcohols:  Direct Hydride and Proton Transfer from Chiral Catalyststrans-Ru(H)2(diphosphine)(diamine) to Ketones and Direct Addition of Dihydrogen to the Resulting Hydridoamido Complexes. J. Am. Chem. Soc.. 123(30):7473-7474. https://doi.org/10.1021/ja015902u
3.
Guo R, Morris RH, Song D. 2005. Enantioselective Tandem Michael Addition/H2-Hydrogenation Catalyzed by Ruthenium Hydride Borohydride Complexes Containing ?-aminophosphine Ligands1. J. Am. Chem. Soc.. 127(2):516-517. https://doi.org/10.1021/ja043782v
4.
Chen W, Mbafor W, Roberts SM, Whittall J. 2006. Ferrocene-based aminophosphine ligands in the Ru(II)-catalysed asymmetric hydrogenation of ketones: assessment of the relative importance of planar versus carbon-centred chirality. Tetrahedron: Asymmetry. 17(8):1161-1164. https://doi.org/10.1016/j.tetasy.2006.04.033
5.
Abdur‐Rashid K. 2005. Synthesis of Ruthenium Hydride Complexes Containing beta‐Aminophosphine Ligands Derived from Amino Acids and their use in the H2‐Hydrogenation of Ketones and Imines. [Internet]. Wiley Online Library. Available from: https://onlinelibrary.wiley.com/doi/abs/10.1002/adsc.200404274
Sign In To Continue

To continue reading please sign in or create an account.

Don't Have An Account?