C2型轴对称手性双噁唑啉(BOX)配体
C2型轴对称手性双噁唑啉(BOX)是优势结构,因为它们以前所未有的选择性促进了大量合成转化。1 1991年,Evans2和Corey3在同一期《Journal of American Chemistry》上发表了两篇文章。这两篇报道为BOX配体作为手性配体在有机合成反应中的应用快速增长铺平了道路。
BOX 配体产品
Evans描述了2,2′异丙叉双[(4S)-4-特丁基-2噁唑啉](货号406147)和三氟甲磺酸铜(Cu(I)OTf)形成的络合物催化使用重氮酯的烯烃的环丙烷化。底物酯中引入大位阻的2,6二叔丁基-4甲基苯基(BHT),可以增加反式构型的产物 (方案1)。2

方案1
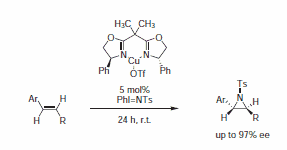
在一项相关实验中,Evans发布了首个手性催化苯乙烯不对称构建氮杂环丙烷的反应。4 两年后,他在一则文章中报道了对这一前期工作的拓展(方案 2)。使用络合Cu(I)OTf的BOX配体(货号405000)进行不对称催化苯乙烯合成氮杂环丙烷的反应,结果显示BOX配体中带苯基取代基的优于具有位阻需求的叔丁(t-Bu)基团 (方案2)。

方案2
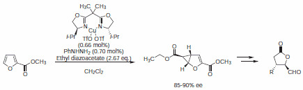
Reiser等发现了一条双取代γ-丁内酯的通用途径。在Cu(I)催化使用重氮酯的呋喃的不对称环丙烷化反应中,试用双(4异丙基噁唑啉)(货号680192)用作手性配体(方案3)。该反应放大到50–100g水平进行时,仍可以保持对应选择性不受降低。5

方案3
1991年,在《Journal of American Chemical Society》发表的文章中,Corey在Fe(III)催化的对映选择性Diels–Alder反应中使用了BOX配体(货号405000)(方案4)。3

方案 4
两年后,Evans报道了使用BOX配体(货号406147)参与的不对称路易斯酸Cu(II)催化未取代丙烯酰胺的Diels–Alder反应。6 该反应产率高,对endo非对映异构体具有优异的对映选择性(方案5)。Evans等人进一步的研究显示最优配体和催化剂组合是BOX (货号406147)和Cu(II),最好的配对离子是OTf和SbF6。1

方案 5
4-芳基和4-烷基取代的BOX催化剂广泛用于很多反应1,并且它们的催化效果具有较好的代表性。但是其他结构的BOX配体也已成功应用于相关不对称合成反应中。BOX配体(货号 405981) 已用于不对称Cu(I)催化的Mannich反应来高效合成高度功能化的4-氧-谷氨酸酯衍生物(方案 6)。7

方案6
Ma等报道了货号464155不对称CuI/双噁唑啉催化引入丙炔酸酯和末端炔酮到1-酰基吡啶盐,获得对映选择性优异高度功能化的二氢吡啶衍生物(方案7)。8 据发现,连接炔烃的羰基对引入基团的对映选择性至关重要。

方案7
参考文献
如要继续阅读,请登录或创建帐户。
暂无帐户?