Salen配体
Salen分子已被研究了超过六十年。然而,Jacobsen和Katsuki在1990年才分别发表了第一篇关于Salen作为锰的配体用于不对称环氧化反应的报道。1 自此,金属-salen催化的领域已得到了极大的扩展。大量金属-Salen络合物已被合成用于各种催化的不对称转化。2 例如,铬和钴的Salen络合物可催化具有高水平对映选择性非官能化烯烃的环氧化。3 铝的Salen络合物可催化叠氮化物与不饱和酰亚胺的共轭加成。4 Salen配体骨架的简易合成和修饰使其成为发现新型催化剂和反应的首选平台。

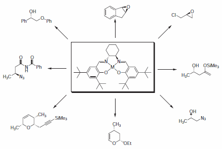
方案 1.salen络合物的多功能性举例
材料
Loading
参考文献
1.
Zhang W, Loebach JL, Wilson SR, Jacobsen EN. 1990. Enantioselective epoxidation of unfunctionalized olefins catalyzed by salen manganese complexes. J. Am. Chem. Soc.. 112(7):2801-2803. https://doi.org/10.1021/ja00163a052
2.
Weiss E. Comprehensive Organometallic Chemistry.The Synthesis, Reactions and Structures of Organometallic Compounds.Neun Bände.Editors G. Wilkinson, F. G. A. Stone, E. W. Abel.Pergamon Press, Oxford 1982.Insgesamt ca. 8500 S., geb.£ 1075.00.Volume 1. Angewandte Chemie. 95(10):819-819. https://doi.org/10.1002/ange.19830951031
3.
Jacobsen EN, Zhang W, Muci AR, Ecker JR, Deng L. 1991. Highly enantioselective epoxidation catalysts derived from 1,2-diaminocyclohexane. J. Am. Chem. Soc.. 113(18):7063-7064. https://doi.org/10.1021/ja00018a068
登录以继续。
如要继续阅读,请登录或创建帐户。
暂无帐户?