金鸡纳生物碱
不对称相转移催化(PTC)已被公认为是许多均相合成有机转化的“绿色”替代方法,并且已被广泛应用。合成修饰的金鸡纳生物碱是用于不对称PTC的典型手性有机催化剂。目前已开发出几代O-烷基N-芳基甲基衍生物,这些衍生物可催化甘氨酸亚胺的高度对映选择性烷基化反应,从而产生一系列α-氨基酸衍生物(表1)。

图 1.甘氨酸亚胺的烷基化反应
为了进一步提高催化反应的对映选择性,Jew和Park通过间隔单元将两个金鸡纳生物碱部分连接起来。使用这种二聚金鸡纳生物碱(06542),可将上述甘氨酸亚胺烷基化的对映选择性优化至97-99%ee。1,2,3
亲核催化剂在新合成方法的开发中具有广泛的作用。特别地是,金鸡纳生物碱可催化许多具有高对映选择性的有用反应过程。金鸡纳生物碱可用作基质使带有相对酸性质子的底物去质子化,从而在所获得的阴离子和质子化胺之间形成紧密离子对。这种相互作用导致阴离子周围形成手性环境,并允许与亲电试剂进行对映选择性反应。
在这些过程中,重要的是能够控制具有过量高对映体的季碳不对称中心的形成。使用(DHQD)2AQN (456713)催化剂可以通过将TMSCN加入到相应的氰醇中,并以极好的收率和对映体过量来影响酮的α-官能化(方案1)。4

方案1
无金属的烯丙基胺化反应为常规钯催化的π-烯丙基方法提供了有用的延伸。通过使用(DHQ)2PYR (418978),可在远程γ位置上用二酰亚胺进行胺化(方案2),从而形成多种高度官能化的氨基化合物。5

方案2
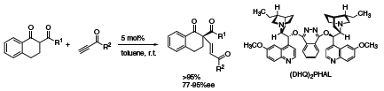
最后,Jørgensen及其同事开发了第一个使用(DHQ)2PHAL (392723)不对称催化炔酮共轭加成的反应。6对于芳香族和脂脂族炔酮来说,β-二酮的加入使得可以以高产率和对映选择性获得(E)-和(Z)-烯酮的混合物(方案3)。

方案3
产品列表
参考文献
如要继续阅读,请登录或创建帐户。
暂无帐户?