有机和有机无机杂化聚合物的分子层沉积
简介
近十年来出现了原子层沉积(ALD)技术以满足各种需求,包括半导体器件小型化、多孔结构上的保形沉积和纳米颗粒涂层。ALD是基于两个连续的自限表面反应。1,2 由于表面化学反应是自限性的,因此ALD可以在高长宽比的结构上沉积非常共形的超薄膜。3 每个反应周期的ALD生长控制为~1 Å,而所得ALD膜是连续且无针孔的。4
已经开发出用于各种无机材料的ALD工艺。由于ALD反应序列的二元性质,大多数ALD材料是二元化合物,例如Al2O3和TiN。例如,Al2O3 ALD通常是使用Al(CH3)3(TMA,货号663301)和H2O作为两种反应物而进行的。5,6 TiN ALD可使用TiCl4(货号254312)和NH3(货号294993)作为两种反应物而进行。7 最常见的ALD材料是金属氧化物和金属氮化物。一些综述文章详细介绍了使用ALD技术沉积的许多无机材料。8,9
分子层沉积(MLD)与ALD密切相关。10,11 MLD也基于相继的自限性表面反应。然而,如图1中的示意图所示,在MLD反应期间沉积的是“分子”片段。10 该分子片段是有机的,并且可以含有无机成分。使用逐步缩合反应可以实现纯有机聚合物MLD膜的沉积。这些有机聚合物MLD薄膜的生长首先在日本的几个小组中得到证实。11–15 混合有机无机薄膜可以通过简单地混合有机和无机反应物而沉积得到。

图 1.基于相继的自限性表面反应的分子层沉积(MLD)方法的示意图。
有机聚合物的分子层沉积
有机聚合物MLD的初步研究集中在了聚酰亚胺11和聚酰胺上。14 MLD这些早期的证明也被称为交替气相沉积聚合。14 其基本策略是利用具有两种化学功能的同双官能反应物,例如X-A-X和Y-B-Y。“ X”和“ Y”是化学官能团,而“ A”和“ B”是有机片段。具有两个同型双功能反应物的两步AB循环如下所示:
(A) SBY* + XAX → SB–AX* + XY (1)
(B) SAX* + YBY → SA–BY* + XY (2)
式中星号表示表面物质。下面的衬底和沉积的薄膜用“S”表示。在反应A中,X化学官能团与SBY*物质反应,结果沉积SB-AX*物质。在反应B中,Y化学官能团与SAX*物质反应,结果沉积SA-BY*物质。
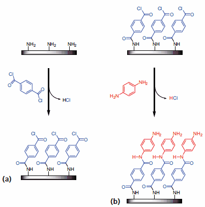
最近的工作已探索了两种聚酰胺的MLD:尼龙66(货号429244)10和聚对苯二甲酰对苯二甲酰胺(PPTA)。16 尼龙66 MLD的反应物是己二酰氯(ClOC-(CH2)4-COCl)(AC,货号165212)和1,6-己二胺(H2N-(CH2)6-NH2)(货号H1169 -6)。10 PPTA MLD的反应物是对苯二甲酰氯(TC,货号120871)和对苯二胺(PD,货号695106)。16 在这两种情况下,酰氯和胺官能团都反应形成酰胺键。对尼龙66 MLD,使用AC和HD相继反应,对PPTA MLD,使用TC和PD的相继反应,即可沉积这些聚酰胺薄膜。10,16 PPTA MLD期间的表面化学示意图如图2所示。16

图 2.使用(a)对苯二甲酰氯和(b)对苯二胺作为同型双功能反应物的聚(对苯二胺对苯二甲酰胺)MLD的表面化学的示意图。
使用同型双功能反应物进行聚合物MLD的困难之一是,同型双功能反应物可以与表面上的两个化学基团反应两次。16 这些“双重”反应从进一步反应中去除了两个表面化学基团。在许多双反应之后,可以与表面发生反应的反应物的数量会大大减少。因此,未来有机聚合物MLD的策略可以使用异型双功能反应物或者具有掩蔽或保护功能的反应物。16
延伸到有机无机杂化聚合物
混合有机-无机聚合物的MLD可通过将无机反应物与有机反应物一起使用来实现。17 这种延伸是通过将典型的ALD工艺中使用的一种反应物与有机聚合物MLD工艺中使用的一种反应物组合来实现的。例如,Al(CH3)3,,即三甲基铝(TMA),是用于Al2O3 ALD的一种非常常用的反应物。5,6 TMA容易与含氧物质发生反应。二醇,例如乙二醇(HO-(CH2)2-OH),(EG,货号324558),是一种同型双功能反应物,可以与羧酸或酰氯一起用于在逐步MLD工艺中沉积聚酯。TMA和EG一起可用于相继逐步反应工艺中沉积称为alucone的有机无机杂化聚合物。18
烷基金属(例如TMA)与二醇(例如EG)之间可能存在新的反应家族。烷基金属与二醇之间的一般两步MLD反应如下所示。17
(A) SMR* + HOR’OH → SM-OR’OH* + RH (3)
(B) SR’OH* + MRx → SR’O-MRx–1* + RH (4)
在反应A中,当所有SMR*物质完全反应产生SM-OR'OH*物质时,反应停止。在反应B中,当所有SR'OH*物质完全反应生成SR'O-MRx-1*物质时,反应停止。在MLD期间,TMA和EG的相继反应产生一种聚合物膜:(Al-O-CH2-CH2-O-)n。这种新型聚合物是alucone18,可称为聚(铝乙二醇)。17 图3展示了聚(铝乙二醇)的生长示意图。17

图 3.使用(a)三甲基铝作为同型三功能反应物与(b)乙二醇作为同型双功能反应物的聚(铝乙二醇)MLD的表面化学的示意图。
此前的研究已表明使用TMA和EG的alucone MLD非常有效。17 异位X射线反射率(XRR)分析表明MLD的生长速率与温度有关。17 alucone MLD的生长速率从85 °C的每TMA/EG周期4.0 Å降低到175 °C的每TMA/EG周期的0.4 Å。图4显示了alucone MLD与TMA/EG周期数之间的线性关系极好。17 XRR分析还确定了这些alucone膜的密度与沉积温度无关,且恒定在~1.5 g/cm3。混合有机无机alucone MLD薄膜在这里的测量密度17远低于177 °C时生长的Al2O3ALD薄膜的~3.0 g/cm3密度。19

图 4.使用X射线反射率测量法确定的在不同生长温度下聚(乙二醇铝)MLD薄膜的厚度与三甲基铝和乙二醇的循环次数的关系。
许多其他有机金属前体可用于定义杂化有机无机MLD聚合物。例如,烷基锌如Zn(CH2CH3)2、二乙基锌(DEZ,货号668729),可以在类似的MLD工艺中与二醇(例如EG)反应。20 易于与氧发生反应的各种其他烷基金属也可以用作有机无机杂化聚合物MLD的候选反应物。例如,基于镁(Mg)和锰(Mn)的烷基金属易与氧反应,因此可能是与二醇反应的候选反应物。Mg和Mn的金属烷基可以Mg(Cp)2(货号J100042)和Mn(Cp)2(货号415405)获得,其中Cp是环戊二烯基配体。其他可能的金属烷基是二茂铁Fe(Cp)2(货号F408)、镍茂Ni(Cp)2(货号N7524)和钴茂金属Co(Cp)2(货号339164)。对于元素周期表中的所有金属而言,可能性几乎是无限的。
基于二醇的反应将产生由金属氧化物和有机成分组成的杂化有机无机MLD膜。其他同型双功能有机反应物也是有可能的,这将进一步扩大这些反应的普遍性。例如,同型双功能有机反应物可以是二胺或二硫酚。对于二胺和二硫酚,杂化有机-无机MLD薄膜将由金属氮化物或金属硫化物与有机成分组成。
其他有机和有机无机聚合物的未来展望
为了防止“双重”反应,MLD反应可利用异双功能反应物。16 这些反应物具有两种不同的化学功能团。其中一个化学官能团可与表面物质发生反应。第二个化学官能团不能与表面物质发生反应。异型双功能反应物仅有一个官能团参与反应,因此不会发生双反应和造成聚合物链终止。
使用异型双功能反应物的最简单的两步AB循环如下所示:
(A) SBZ* + WAX → SB–AX* + ZW (5)
(B) SAX* + YBZ → SA–BZ* + XY (6)
在反应A中,W化学官能团(但不是X化学官能团)与SBZ* 物质发生反应沉积SB-AX* 物质。在反应B中,Y化学官能团(但不是Z化学官能团)与SAX* 物质发生反应沉积SA-BZ* 物质。有许多异型双功能反应物的例子,这些反应物在同一分子上表现出两种独立的化学反应。可能的化学官能团是:胺、烯丙基、羟基,异氰酸酯、环氧基、琥珀酰亚胺酯,马来酰亚胺、和硫醇。
除了异型双功能反应物之外,反应物还可以通过含有仅在反应时表达自己的隐藏官能团来避免双反应。有许多开环反应可产生新的羟基(-OH)、胺(-NH2)或羧酸(-COOH)。例如,环氧环可以与表面胺反应产生羟基。环状氮杂硅烷,例如2,2-二甲氧基-1,6-二氮杂-2-硅杂环辛烷,可以与表面羟基反应生成胺基。16 环状碳酸酯,例如碳酸亚乙酯,可以与表面胺反应产生羟基。16 涉及开环或异型双功能反应物的各种反应的示例如图5所示。

图 5.涉及开环或异型双功能反应物的各种反应的示例。

图 6.三步ABC反应的表面化学示意图,包括(a)三甲基铝作为同型三功能反应物,(b)乙醇胺作为异型双功能反应物,和(c)马来酸酐作为开环反应物。
这个三步ABC反应序列避免了双反应的可能性,产生了非常稳健的线性MLD生长。最近的研究表明,这种ABC alucone MLD膜在90–150 °C的温度下生长,每个ABC反应周期的MLD增长率分别为23–8 Å。21 使用异型双功能反应物、开环反应物、以及具有掩蔽或保护功能反应物的其他可能的三步ABC反应序列,将为有机和杂化有机无机MLD薄膜的MLD提供广泛的可能性。这些新型组合与先前的ALD工艺一起,将大大增加可以通过精确厚度控制保形沉积的薄膜材料的范围。
致谢
这项工作由国家科学基金会资助,资助号为CHE-0715552。空军科学研究办公室提供了额外的支持。作者还感谢Arrelaine A. Dameron博士、Dragos Seghete、Nicole M. Adamczyk和Yijun Du博士以前为帮助我们理解MLD所做的贡献。
材料
如要继续阅读,请登录或创建帐户。
暂无帐户?